【 作者:| 发布日期:2021-06-18| 】
“遇见幸福,送你一朵小红花”心理健康月系列活动之故事收集箱
为贯彻落实教育厅《关于举办2021年山东高校心理健康教育月活动的通知》要求,扎实做好常态疫情防控形势下的心理健康教育工作,全面提升我院心理育人工作质量,着力培养同学们自尊自信、理性平和、积极向上的健康心态,工商学院特开展“遇见幸福,送你一朵小红花”系列活动之“故事收集箱”活动,在同学们的积极参与下活动已圆满结束,现对优秀作品进行展示!
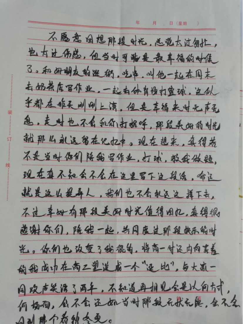
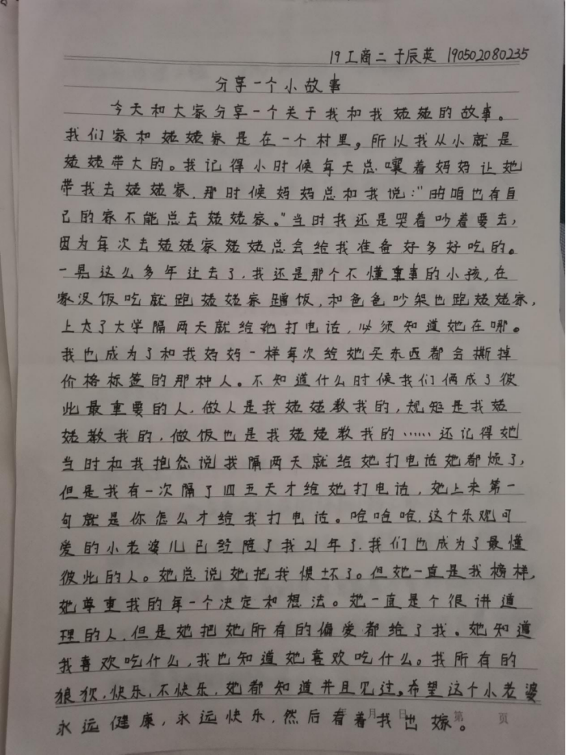
本次活动取得了圆满成功,不仅给予同学们分享自己身边的故事向大家传递幸福感的机会,还展现当代大学生的青春风采,丰富了校园文化,激发工商学子对生活、对学校的热爱。